第02讲 等差数列及其前n项和(教师版).docx

第02讲 等差数列及其前n项和(教师版).docx_第1页
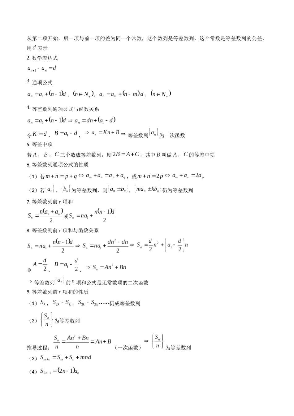
第02讲 等差数列及其前n项和(教师版).docx_第2页
第02讲 等差数列及其前n项和(教师版).docx_第3页
第02讲等差数列及其前n项和(10类核心考点精讲精练)1.5年真题考点分布5年考情考题示例考点分析关联考点2024年新I卷,第19题,17分等差数列通项公式的基本量计算数列新定义2024年新Ⅱ卷,第12题,5分等差数列通项公...

1、本站所有内容均由用户上传,如文档内容存在违规,或者侵犯商业秘密、侵犯著作权等,请联系我们督促用户删除。
2、当您付费下载文档后,并不意味着购买了版权,版权任归原作者所有,文档只能用于自身研究参考使用,不得用于商业用途。
3、本站不对文档的完整性、权威性及其观点立场正确性做任何保证或承诺!文档内容仅供研究参考,付费前请自行鉴别。

电脑上下载的文档不知道保存在哪里?
使用键盘组合键(ctrl + j),就能打开浏览器的下载列表,查看文档下载进度和保存位置。

文档是由不同用户整理和上传,上传的时候是什么格式和内容,下载之后也不会变。建议您先查看一下文档内容和格式,是否符合自己的要求。

ljcx+ 关注
实名认证
内容提供者

教育文档、标准规范

确认删除?
回到顶部