高二数学新教材选择性必修第一册人教A版_2.5 直线与圆、圆与圆的位置关系精练解析版.docx

高二数学新教材选择性必修第一册人教A版_2.5 直线与圆、圆与圆的位置关系精练解析版.docx_第1页
高二数学新教材选择性必修第一册人教A版_2.5 直线与圆、圆与圆的位置关系精练解析版.docx_第2页
高二数学新教材选择性必修第一册人教A版_2.5 直线与圆、圆与圆的位置关系精练解析版.docx_第3页
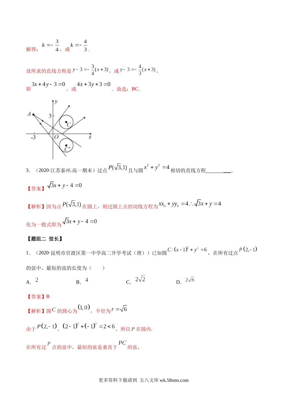
2.5直线与圆、圆与圆的位置关系【题组一直线与圆的位置关系】1.(2020·开封市第二十五中学高一期末)若直线与圆相切,则()A.1B.C.或3D.或1【答案】D【解析】由题意,圆心坐标为,半径为,因为直线与圆相...

1、本站所有内容均由用户上传,如文档内容存在违规,或者侵犯商业秘密、侵犯著作权等,请联系我们督促用户删除。
2、当您付费下载文档后,并不意味着购买了版权,版权任归原作者所有,文档只能用于自身研究参考使用,不得用于商业用途。
3、本站不对文档的完整性、权威性及其观点立场正确性做任何保证或承诺!文档内容仅供研究参考,付费前请自行鉴别。

电脑上下载的文档不知道保存在哪里?
使用键盘组合键(ctrl + j),就能打开浏览器的下载列表,查看文档下载进度和保存位置。

文档是由不同用户整理和上传,上传的时候是什么格式和内容,下载之后也不会变。建议您先查看一下文档内容和格式,是否符合自己的要求。

真题+ 关注
机构认证
内容提供者

该用户很懒,什么也没介绍

确认删除?
回到顶部